美国政府继续批准中国自行车产品的关税豁免
对于2000亿美元产品加征关税清单,美国贸易代表处于5月8日晚再次批准豁免5项自行车产品。
· 27cm x 19cm x 21.5cm(4202.92.3120)。
· 自行车碳纤三角架(8714.91.9000)。
· 自行车后轮摆臂式碳纤车架(8714.91.9000)。
· 碳纤维自行车轮圈,辐条孔外部加固,单价100美元或以上(8714.92.1000)。
· 镀锌或黑色粉末涂层钢制自行车架,外径不超过7厘米(9403.20.0090)。
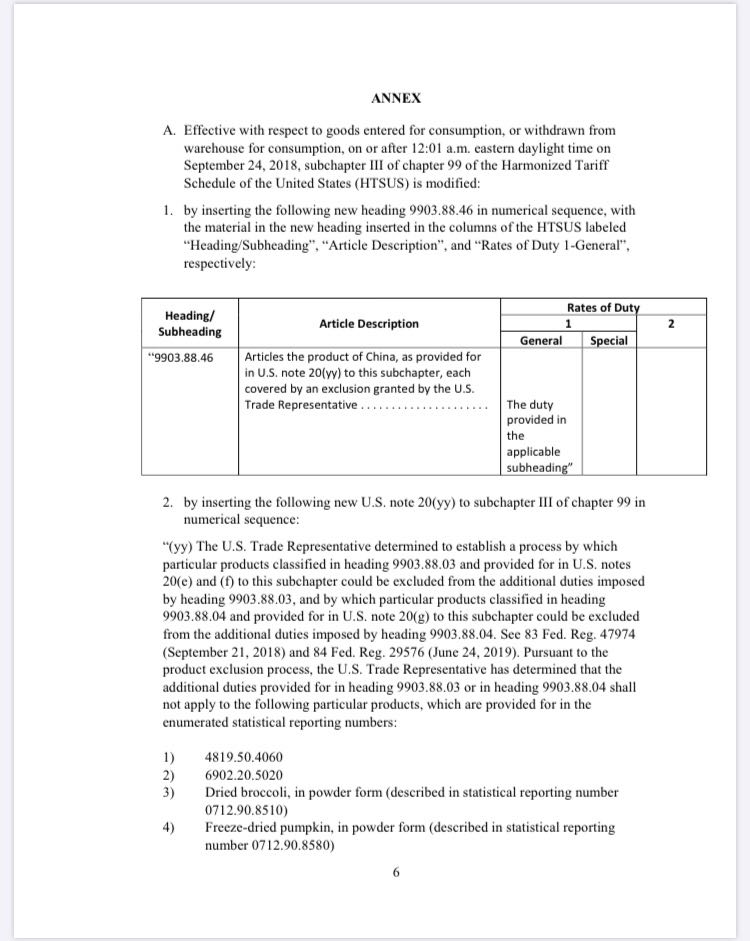
原文如下:
.jpg)
.jpg)
.jpg)
.jpg)
.jpg)
.jpg)
.jpg)
.jpg)
.jpg)
.jpg)
.jpg)
.jpg)
.jpg)
.jpg)
.jpg)
注:中文为翻译件,如有任何疑问,请以原文为准。
摘编:中自协; 摘编日期:2020-5-9